
▲分科測驗來到第二天。(示意圖/記者許敏溶攝)
記者蔡玟君/台北報導
大學分科測驗今(12日)下午考數學乙,也是新增考科,根據大考中心資料,今年數乙共1萬6955人報考,1871人缺考,缺考率11.04%。得勝者文教提供數乙科試題參考解答,但正確答案以大考中心公布為準,同時預估今年數乙5標(頂前均後底)為「49、44、36、29、25」分。

▲補教老師分析今年首次增加的「數乙」。上圖左為補教老師魏上智,右為解創智。(圖/記者蔡玟君攝)
補教老師解創智指出,數乙沒有什麼爭議題目產生,考題兼具各領域配分很平均,和昨天數甲不同。他認為,題目中間偏易,且沒有冗長計算。
補教老師魏上智也表示,今年命題很平均且合理,計算量不大,題目也能很容易閱讀,且題目由簡單到困難,因此只要第1題、第2題能拿到分數,對考生來說做題上心理也會比較穩定。
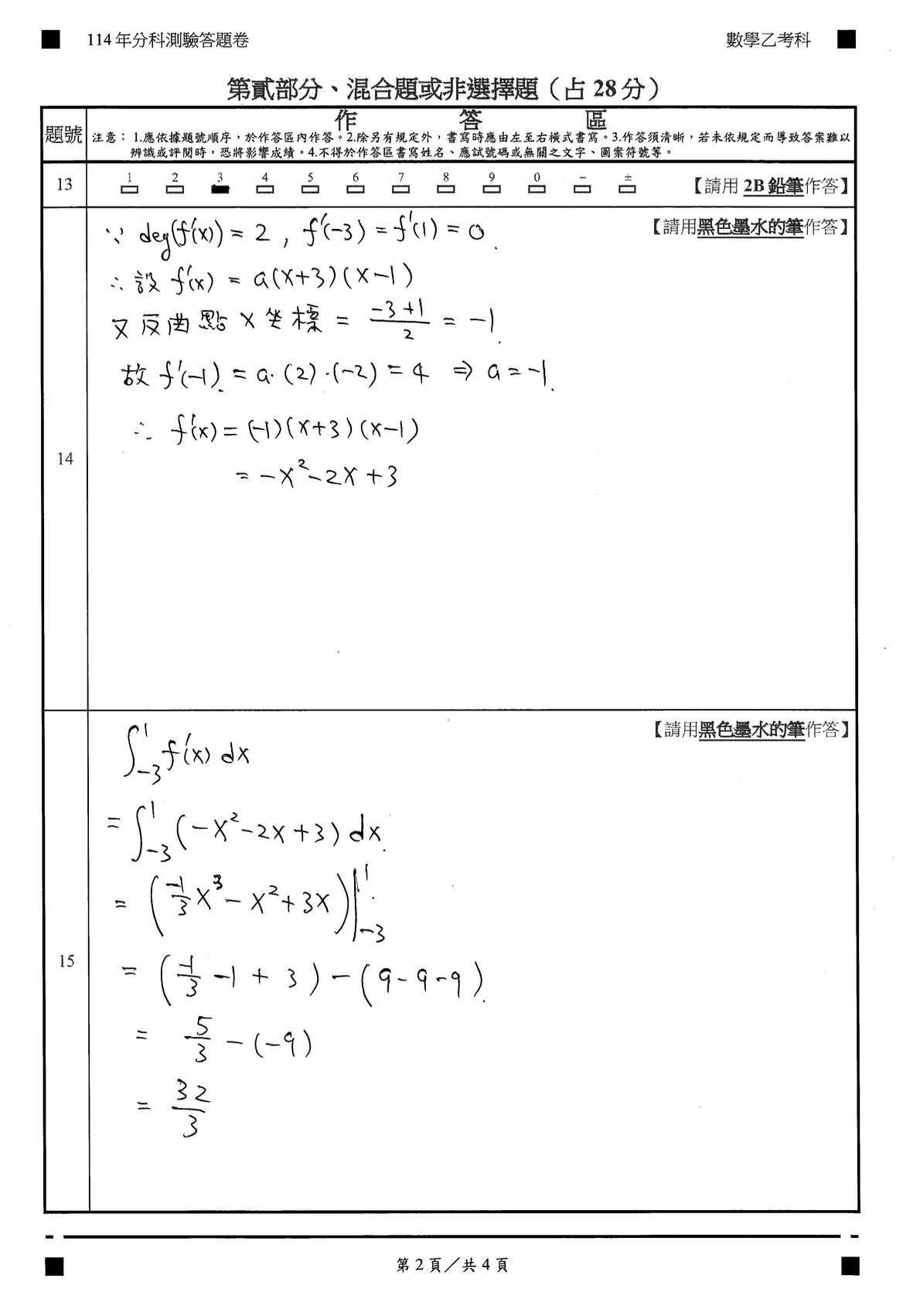
▼得勝者文教公布數乙解答。(圖/得勝者文教提供)










讀者迴響