
▲陳其邁、柯志恩。(圖/記者李毓康攝、高雄市國民黨黨部提供)
實習記者李密/台北報導
九合一大選將至,各候選人財產申報也於今(14)日公開。高雄市國民黨參選人柯志恩申報存款約1276萬元,不動產部分,柯志恩持有5筆土地、1筆建物,其中1筆土地與建物皆位在美國加州,取得價格未知(已超過5年),另4筆土地為繼承取得,位在屏東;民進黨參選人陳其邁有1筆土地、1筆房產,皆在太太吳虹名下,至於存款約599萬元,但有1010萬元的房貸。
▲柯志恩111年財產申報(不動產)。(圖/翻攝111年公職候選人財產申報資料上網公告,點圖放大)
▲陳其邁111年財產申報 (不動產)。(圖/翻攝111年公職候選人財產申報資料上網公告,點圖放大)
根據中選會資料,柯志恩夫妻存款金額為新台幣1276萬9733.5元,陳其邁夫妻存款共計599萬2013.202元,陳其邁相較今年5月存款,增加約56萬元。柯志恩名下1部LEXUS NX200,取得價格168萬元;陳其邁太太吳虹名下1部本田HONDA,取得價格65萬元。
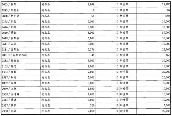
另外,有價證券部分,柯志恩名下共計27檔股票,總計55萬3580元。其中以華航、長榮航較多,兩檔航空股各5張,其次金融股有國泰金、富邦金等,各約2至3張,電子股則有聯電、華邦電、台達電等,各約1至2張。另有1筆債券49萬4650元,投資基金折合約307萬9274元,保險約576萬7360元。
▲柯志恩111年財產申報 (股票)。(圖/翻攝111年公職候選人財產申報資料上網公告,點圖放大)
陳其邁夫妻則未申購任何股票,但有投資基金約2萬8512元,還有房屋貸款1010萬1129元,相較今年5月,房貸減少約99萬元。另有1筆事業投資,為吳虹婦產科診所,投資金額200萬元。
▼陳其邁111年財產申報 (債務)。(圖/翻攝111年公職候選人財產申報資料上網公告,點圖放大)





讀者迴響