
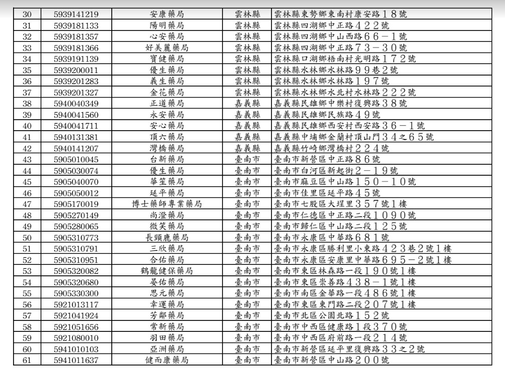
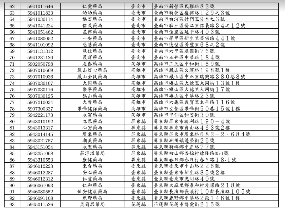
▲口罩2.0「調度機制」啟動!104家藥局庫存過剩暫緩配送3天。(圖/記者林悅翻攝)
記者嚴云岑/台北報導
口罩實名制2.0即將上路,可開放用健保卡、自然人憑證、手機認證方式在網路下單、超商取貨。由於部分偏鄉有口罩賣不完問題,食藥署今(10)日起針對104家庫存過剩藥局暫緩配送3天,並回收3639家藥局過剩兒童口罩,但上午臨時公告,因郵局作業調整,暫緩回收口罩。
依據藥師公會全聯會公告名單,停配口罩的104家藥局,分佈於新北、桃園、台中、彰化、雲林、嘉義、台南、高雄、屏東、花蓮等縣市。全聯會發言人黃彥儒指出,停配名單上的藥局,將停送3天口罩,其餘藥局仍會陸續收到成人及兒童口罩。
對於口罩實名制2.0版即將上路,黃彥儒表示,許多藥局都樂觀其成,部分藥局因排隊人潮過多,的確難以負擔,現在多了網路通路,有望緩解藥局排隊人潮。
食藥署9日公告,10日起將回收兒童口罩,共有3639家藥局符合名單,要求藥師以1000為單位,協助準備好50入/包*20包的兒童口罩讓郵政綠衣天使回收,並提醒藥局口罩收走後要手動扣帳。不過,食藥署今早緊急公告,因郵局作業調整,暫緩回收兒童口罩。
▼暫緩配送口罩藥局。(圖/藥師公會全聯會提供)*點圖可放大




讀者迴響