邱品齊
Chlorophyll(葉綠素)是植物綠葉中含有的天然成分
在植物中其常見的結構式如下所示:

Chlorophyll.jpg
可以看到其結構中有Mg++(鎂)離子
葉綠素是植物產生的油溶性天然色素
這成分在歐盟及日本可以當作食品添加劑使用
但因為穩定性較差所以並沒有被廣泛使用
目前比較被廣泛使用在食品著色劑以及化妝品色素的是銅葉綠素(Chlorophyllin)
銅葉綠素是從植物中提取葉綠素(通常取自羊茅和苜蓿)
然後經過化學方法修飾所得
目前銅葉綠素有兩類
一種是只有以銅離子取代原本鎂離子的葉綠素
稱為油溶性「銅葉綠素- Copper Chlorophyll」
另一種是結構中除了以銅離子取代鎂離子之外
還把結構中的植醇(Phytol)側基拿掉並變成鈉鹽
這稱為水溶性「銅葉綠素鈉- Sodium Copper Chlorophyllin」
這成分除了某些食品可以使用之外化妝品中也可以合法使用
名稱是CI 75810/Natural Green 3
或稱為Chlorophyllin-Copper Complex

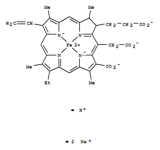
Chlorophyllin.jpg
此外在台灣衛生法規【食品添加物使用範圍及限量暨規格標準】
其中還有另外一種相似成分就是把水溶性的銅葉綠素鈉
利用鐵離子取代原本的銅離子
變成「鐵葉綠素鈉- Sodium Iron Chlorophyllin」


這次新聞事件中大統違法添加的就是油溶性的銅葉綠素
因為這成分在法規中只能添加在口香糖及泡泡糖
以及膠囊狀、錠狀食品的著色目的,並不能添加在油品中
所以這樣做是違法的!!
大統之所以這麼做是因為這色素呈現橄欖綠色
它可以使用其他種較便宜的油脂之後
再添加這種著色劑就可以變成橄欖油的顏色
假裝是橄欖油以欺騙其他下游廠商及消費者
這真的是相當混帳的做法!!
而之後新聞中五木拉麵下架菠菜麵及蔬菜麵
主要是因為在麵中添加水溶性的銅葉綠素鈉當著色劑
因為在台灣的食品添加物相關規範中
銅葉綠素鈉當作著色劑使用只能使用在乾海帶、
蔬菜及水果之貯藏品、烘焙食品、果醬及果凍
調味乳、湯類及不含酒精之調味飲料、口香糖及泡泡糖
以及膠囊狀、錠狀食品之中
並不能添加在麵類產品中,所以這樣做也是違法的
但這次出事的製麵商是頗具規模的食品廠
對於食品著色劑的了解實在有待加強
在法規上要把麵體著成綠色可以使用「鐵葉綠素鈉」
現在卻誤用到「銅葉綠素鈉」
這樣一個小小的疏忽
造成難以挽回的商譽損失真的是因小失大
廠商宣稱說想要添加「天然葉綠素」
但老實說葉綠素不太穩定也容易變色
此外在台灣法規上目前也沒有核准這一項食品添加物
(在歐盟及日本可以用,但美國並沒有核准)
今天還有另外一家廠商佳格被點名說有使用銅葉綠素鈉
但因為目前發現廠商只有將這著色劑
使用在調味乳及不含酒精之調味飲料
只要使用限量符合標準的話這的確是合法的
至於葉綠素銅物質是否有毒性的問題
依聯合國食品添加物專家委員會(JECFA)之評估報告
銅葉綠素複合物於大鼠長期試驗中無慢性毒性
世界衛生組織建議每人每日最大容許攝取量為15 mg/每公斤體重
以60公斤的成人計算,每日最大容許量為900 mg
銅葉綠素成分中含有不可解離的銅
依照法規添加在低溫的食物中
在正常飲食一般食用量之下應不會有健康危害
但比較需要擔心的是這些物質被違法添加在油當中
因為這些之後會經過高溫處理
是否會因而產生解離銅長期攝取後造成健康問題
這到目前為止就還沒有明確的答案
所以這次食品違法添加葉綠素銅事件
要因為如此食用造成急性中毒問題幾乎是不可能
但是否會造成慢性健康危害則還有待後續研究釐清
但站在消費者以及衛生主管單位立場
對於廠商違法添加食品著色劑在不該添加的食物中
不論是為了矇騙消費者賺取暴利
或是因為忽略規定任意使用都是已經違法
真希望這次可以嚴懲嚴辦讓廠商有所警惕
不然以後市場上還會有更多的食安未爆彈!!
● 作者邱品齊,原圖文取自《讓大家一次搞懂-銅葉綠素》發表於2013年11月6日。以上言論不代表《ETtoday東森新聞雲》立場。ET論壇歡迎更多聲音與討論,來稿請寄editor@ettoday.net






讀者迴響