
▲有網友分享群創招考作業員的考題,考的內容竟然是電磁學,民眾看到後紛紛直呼:解得出來我還當作業員幹嗎?(圖/翻攝自靠北群創臉書粉絲團)
網搜小組/綜合報導
[廣告] 請繼續往下閱讀.
有些公司行號在徵才時,除了面試之外,還會有筆試這一關,測試求職者的程度和能力,但有時候測驗的方式,常常會讓人出乎意料。最近有網友在臉書社團「靠北群創」貼文,貼出一道面試考題,對象是作業員。網友們看到這到題目後,紛紛直呼「這是要應徵工程師吧?」、「解得出來的話我還應徵作業員幹嘛?」
臉書社團「靠北群創」2日下午有網友po文提到,「靠杯一下,新進筆試可以不要這們困難嗎?那些國中畢業的很不願意這樣了,筆試考題這們難是要給誰死啊?他們就不是人?高職畢業就是人!這是哪門子的規定啊?」
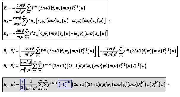
隨後網友分享一張考試題目,上面是密密麻麻的數學公式,不少人看了直呼都眼花了。有人問說這到底是什麼題目,爆料的網友解釋這個是「電磁學」,得先學會代數、微積分和工程數學,才有辦法懂電磁學。
隨後這道題目也被其他網友分享到臉書社團「爆料公社」,許多網友看完之後,有人說我也被考過這種題目~~當場就放棄不考,放著就走人了!」還有網友直言「又考微積分又考代數,作業員考這幹嗎?」還有人說「有這能力解的出來還需去群創當作業員嗎?」、「面試官腦子有洞嗎?」除了這數學考題外,有自稱是離職員工的網友更爆料,「還有考英翻中的!」